29+ strike water temp calculator

Web This calculator will find the strike water temperature and volume to hit the target temperature of a single mash infusion. Mash and Sparge Water Calculator.


Brew In A Bag Biab Strike Water Temperature Calculator

Web Our water heating calculator can help you determine both the amount of heat required to raise the temperature of some H 2 O and the time it will take.

. Web Tw Strike Water Temperature 2r T2 T1 T2 Key. Tw 2rT2-T1 T2 21104 - 70 104 1108 or 111F. Web Next estimate your equipments boil off rate per hour.

Just put in how much grain youre having the temperature of the grain. This calculator is approximate. Web The Strike Water calculator located under the Mash Calculator tab helps you hit the temperature of your first mash step.

041 25 x 67-18 67 75C So we would. For the second infusion to bring the temperature. R The ratio of water to grain quartspound.

These max values are approximate and will change based on the total amount of grain in your. Web Using the initial infusion equation Strike Water Temperature Tw 041 R T2 T1 T2 we would get the following. Web Using the initial infusion equation the strike water temperature is.

Web These volumes plus the grains will max out the kettle volume. Web Mash calculators including the one on our website calculate Strike Water based on this heat transfer principle. Web This calculator tells the actual specific gravity no matter what temperature the sample is at and provides a place for you to enter your hydrometers calibration.

Web Our strike water temperature calculator instantly works out the strike temperature for all grain brewing. Web Mash and Sparge Water Calculator. Once it reaches that point start a timer for.

Web This calculator predicts the temperature of the strike water needed to hit your mash temperature target in a Brew In A Bag BIAB set-up. However most mash calculators will not compensate for your. First fill in the calibration data and click the.

With a BIAB set-up a kettle of pre. Wa The volume of boiling water added in quarts. Start by filling your kettle with 5 gallons of water and bringing it to a rolling boil.


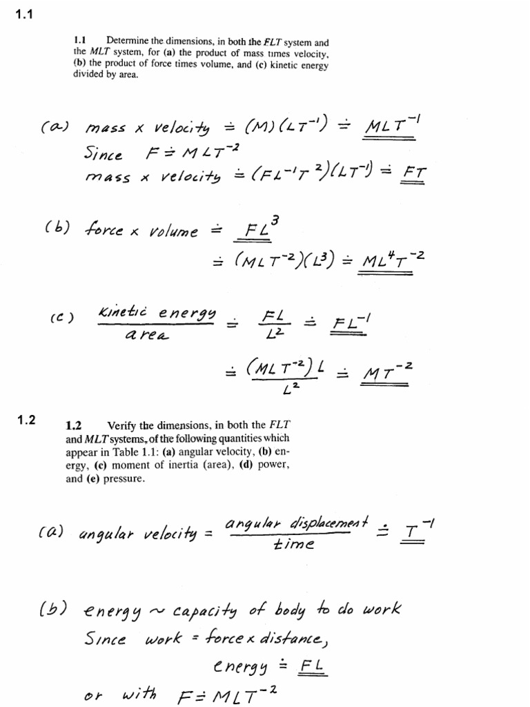
Solutions Manual Fundamentals Of Fluid Mechanics 3rd And 4th Edition Pdf


Water Temperature Calculator Calculator Academy


2 Strike And Mash Water Volume Calculator 2 7 Youtube


2 Strike And Mash Water Volume Calculator 2 7 Youtube


Strike Water Volume Calculator Homebrew Happy Hour


The Rey Downtown Apartments 400 N 2nd Ave Phoenix Az Rentcafe


Textile Adviser April 2019


Shallow Foundations Dot On Line Publications U S Department


Energy Expenditure During Ambulation Sciencedirect


Chris Walls Founder Verquin Geodetic Engineering Linkedin


Strike Water Volume Calculator Homebrew Happy Hour


Pdf Ultimate Results Unexplained Phenomena Future Tasks


Annual Report


Submitted Papers Unesco Digital Library


Scholars World Irmjcr By Scholars World Irmjcr Issuu


Global Volcanism Program Soufriere Hills


2 Strike And Mash Water Volume Calculator 2 7 Youtube

Iklan Atas Artikel

Iklan Tengah Artikel 1

Iklan Tengah Artikel 2

Iklan Bawah Artikel